Atomic Astute Alliance
Home / Alendronate Sodium

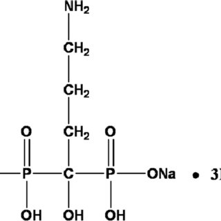
Alendronate Sodium

Alendronic acid is a second generation bisphosphonate that is used for the treatment of some forms of osteoperosis and Paget's disease. It functions by preventing resorption of bone .

CAS No. 121268-17-5
Molecular Weight (g/mol) 325.1200
Molecular Formula C4​H12​NNaO7​P2​⋅3H2​O